作业题目
第一章
14

15

(a)
(b)
20

(a)
(b)
25

(a)
(b)
26

(b)
(d)
31


第二章
2.1

2.7

2.8

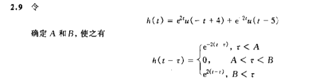
2.9

2.14

2.17

2.18

第三章
3

6

17

20



22 (b)


第四章
4.3 (b)

4.4 (b)

4.8


4.10

4.14

4.21 (b), (g)


4.24

4.25

4.33 (a), (b)

4.34

4.36

第九章
9.3

9.6

9.11

9.14

9.20

9.28


第十章
10.1 (a) (b)

10.3

10.6

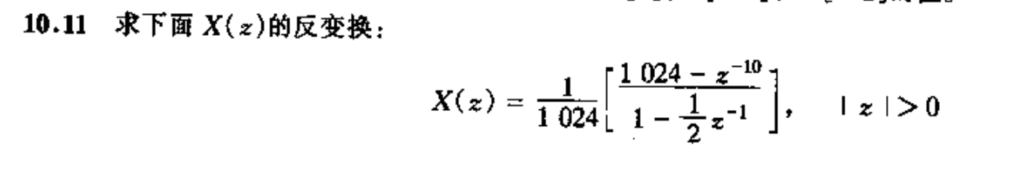
10.11

10.14

10.20

10.33

10.42
